• Предмет: Алгебра
  • Автор: kiranikitenko13
  • Вопрос задан 8 лет назад

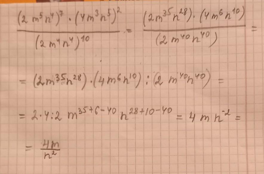
упростите выражение.​

Приложения:

Ответы

Ответ дал: Mirvi
0

Объяснение:

Отметь ответь лучшим удачи

Приложения:
Вас заинтересует