• Предмет: Алгебра
  • Автор: steveman
  • Вопрос задан 7 лет назад

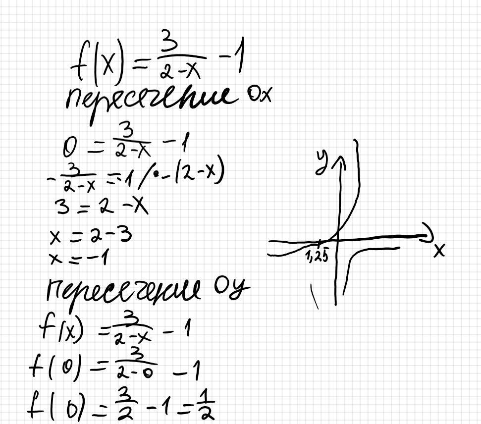
Исследуйте функцию и постройте ее график ​

Приложения:

Ответы

Ответ дал: dm1502
1

Ответ:

прикрепил

Объяснение:

Приложения:

steveman: Спасибо большое!
Вас заинтересует