блоксхемы!
помогите пожалуйста хоть с одним буду очень благодарна

Приложения:

Ответы

Ответ дал: pasha888000
0

Ответ:

Скопировать код в Dev C++ и в компиляторном окне выведутся числа в результате работы программы

Объяснение:

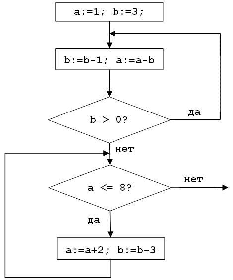
1) #include <iostream>

#include <stdio.h>

#include <stdlib.h>

#include <math.h>

int main(int argc, char** argv) {

int a = 1, b = 3;

b = b - 1;

a = a = b;

while (b > 0){

 b = b - 1;

 a = a - b;

}

while (a <= 8){

 a = a + 2;

 b = b - 3;

}

printf("a = %d", a);

printf("\nb = %d", b);

return 0;

}

2) #include <iostream>

#include <stdio.h>

#include <stdlib.h>

#include <math.h>

int main(int argc, char** argv) {

int a = 1, b = 11;

while (a <= 4){

 a = a + 1;

 b = b - 2;

}

b = b - 1;

a = a + b;

while (b > 0){

 b = b - 1;

 a = a + b;

}

printf("a = %d", a);

printf("\nb = %d", b);

return 0;

}

Вас заинтересует