• Предмет: Алгебра
  • Автор: Аноним
  • Вопрос задан 7 лет назад

бистрее пжпжпжпжпжпж ​

Приложения:

Ответы

Ответ дал: zheniskhassiyet
0

Ответ:

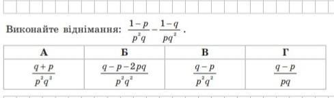
А ) прости если не правильно

Вас заинтересует