• Предмет: Математика
  • Автор: masafilatova554
  • Вопрос задан 8 лет назад

решить целое уравнение

Приложения:

Ответы

Ответ дал: erasyldarken
0

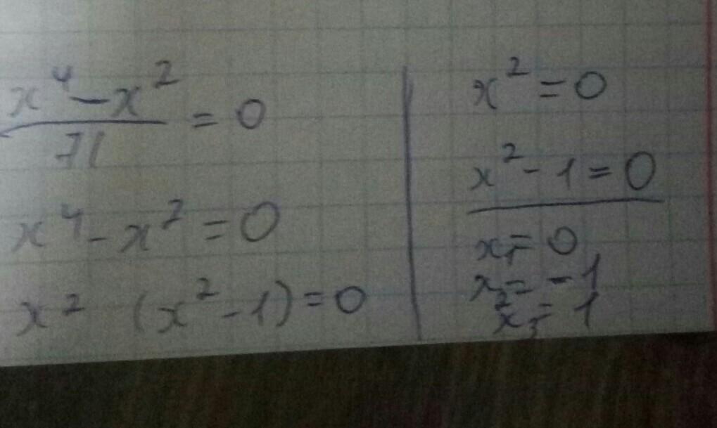
Ответ:

уравнение имеет три решения

х1=0

х1=1

х3=-1

Пошаговое объяснение:

на фото

Приложения:

erasyldarken: освещение плохое у меня
Ответ дал: ksenia401155
0

........................

Приложения:
Вас заинтересует