• Предмет: Алгебра
  • Автор: vjbcjmv80
  • Вопрос задан 7 лет назад

помогите пожалуйста)​

Приложения:

Ответы

Ответ дал: memmemsheh
1

Объяснение:

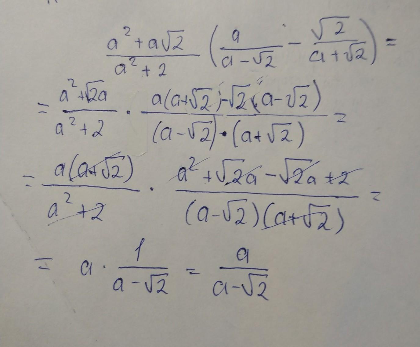
смотри решение на фото.

Приложения:
Вас заинтересует