• Предмет: Алгебра
  • Автор: tetr1z6season
  • Вопрос задан 7 лет назад

Остання,теж саме розв'яжіть нерівність​

Приложения:

Ответы

Ответ дал: dobra888
0

Ответ:     xЄ [ 1 ; + ∞ ) .    

Объяснение:

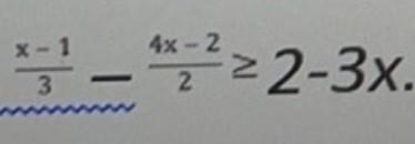
( x - 1 )/3 - ( 4x - 2 )/2 ≥ 2 - 3x ;│X6

2( x - 1 ) - 3( 4x - 2 ) ≥ 6( 2 - 3x ) ;

2x - 2 - 12x + 6 ≥ 12 - 18x ;

2x - 12x + 18x ≥ 12 + 2 - 6 ;

                 8x ≥ 8 ;

                   x ≥ 8 : 8 ;

                   x ≥ 1 ;      xЄ [ 1 ; + ∞ ) .    

Вас заинтересует