• Предмет: Алгебра
  • Автор: Аноним
  • Вопрос задан 7 лет назад

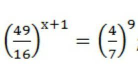
помогите решить алгебру на фото ​

Приложения:

Аноним: я же вижу твой прмер
Аноним: ебланишье
Аноним: все я тебя в чс кидаю
Аноним: так всё иди нах#убл#док
Аноним: мне посрааатьь
Аноним: кончений
Аноним: вот видишь
Аноним: сууукааааь
Аноним: тоже мне 11 класс
Аноним: иди нахуьй пока

Ответы

Ответ дал: scvscs
1

Ответ:

-5,5

Объяснение:

сначала приводим к одинаковому основанию, а затем решаем простое уравнение!

Приложения:

Аноним: спасибо❤️❤️❤️
Вас заинтересует