Ответы
Ответ дал:
0
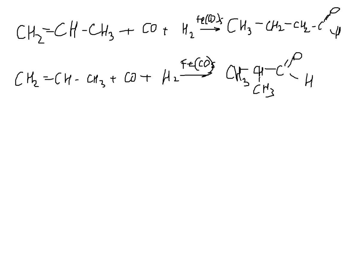
Оксосинтез если не ошибаюсь.
Реакции во вложениях.
P.S. преимущественно образуется бутаналь
Реакции во вложениях.
P.S. преимущественно образуется бутаналь
Приложения:

Вас заинтересует
2 года назад
2 года назад
8 лет назад
8 лет назад
10 лет назад
10 лет назад
10 лет назад