• Предмет: Алгебра
  • Автор: Vlad665508
  • Вопрос задан 7 лет назад

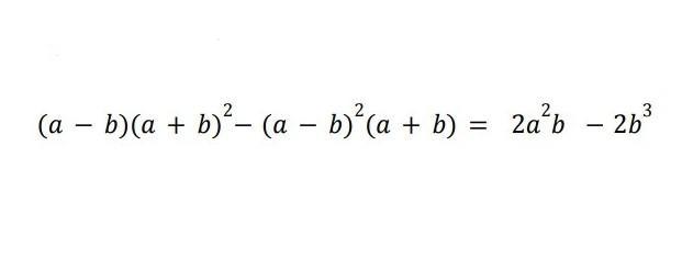
Довести 4-ма способами тотожність.
50 баллов, Срочно!!!​

Приложения:

Ответы

Ответ дал: megamozok82
1

Ответ:

Я 8 класс и я знаю только 1 способ доказать это

Приложения:
Вас заинтересует