• Предмет: Математика
  • Автор: asylbekovaakbota535
  • Вопрос задан 8 лет назад

помогитеееекк срочнооо

Приложения:

Ответы

Ответ дал: Аноним
1

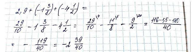
ваш ответ во вложении и ждёт с вас лайка

Приложения:
Вас заинтересует