• Предмет: Биология
  • Автор: AlexR2003
  • Вопрос задан 7 лет назад

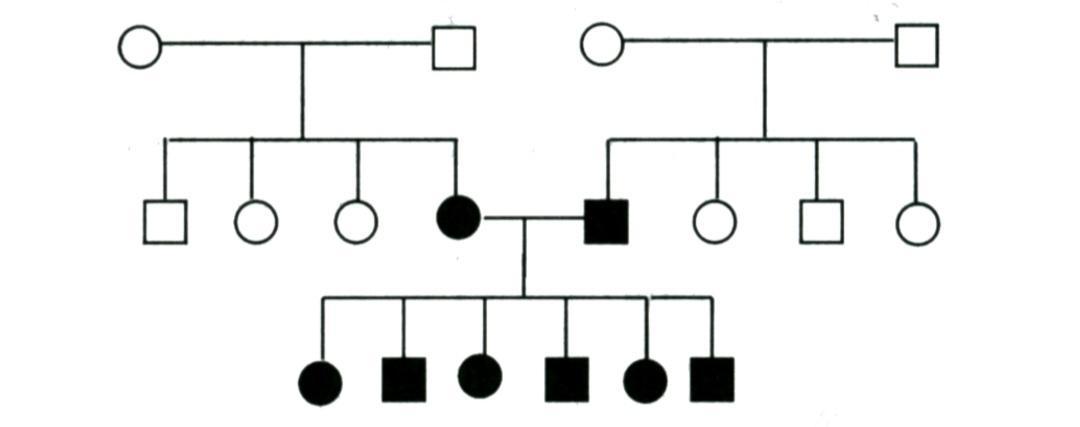
Определить характер наследования признака и расставить генотипы всех членов родословной

Приложения:

Ответы

Ответ дал: juliajuliajuila0208
1
Аутосомно-доминантный характер наследования.
Приложения:
Вас заинтересует