Найдите площадь фигуры, ограниченной прямыми у=корень из икс, у=2, х=9
Если можно, с подробным объяснением
Ответы
Ответ дал:
0
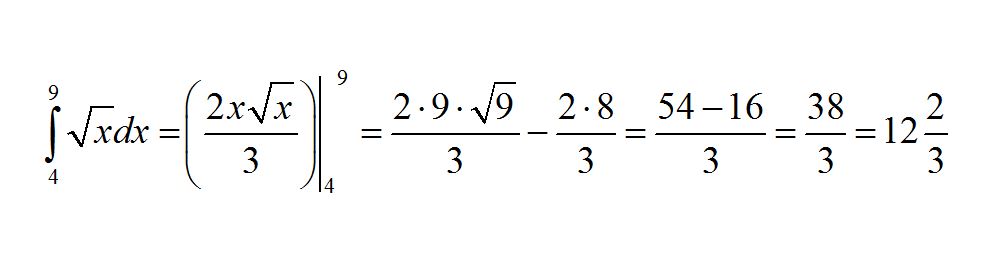
См. вложение
==========================
==========================
Приложения:
Вас заинтересует
3 года назад
3 года назад
8 лет назад
11 лет назад
11 лет назад