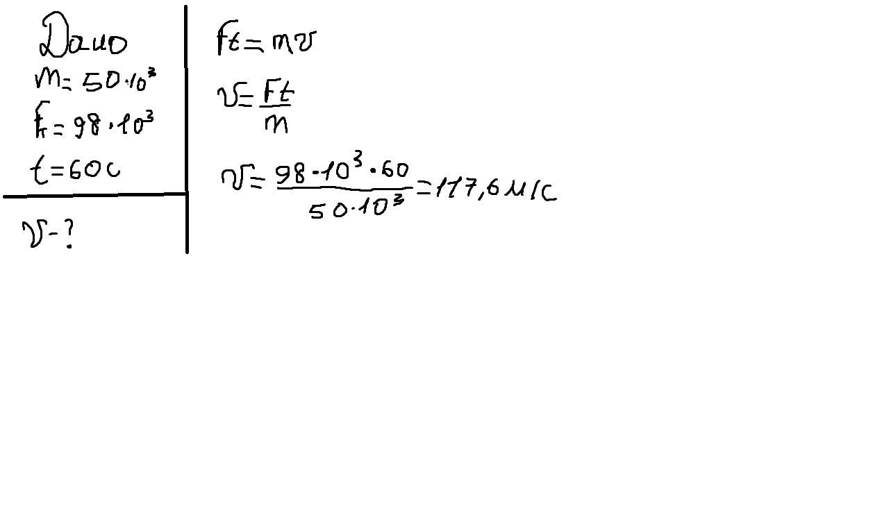
Потяг масою 500 т після припинення тяги локомотива під дією сили тертя, яка дорівнює 98 кН, зупиняється через 1 хв. З якою швидкістю їхав потяг?
Ответы
Ответ дал:
2
Ответ:
png
Объяснение:
Приложения:

Вас заинтересует
2 года назад
3 года назад
3 года назад
8 лет назад
8 лет назад
9 лет назад