• Предмет: Математика
  • Автор: burolenkooleg
  • Вопрос задан 8 лет назад

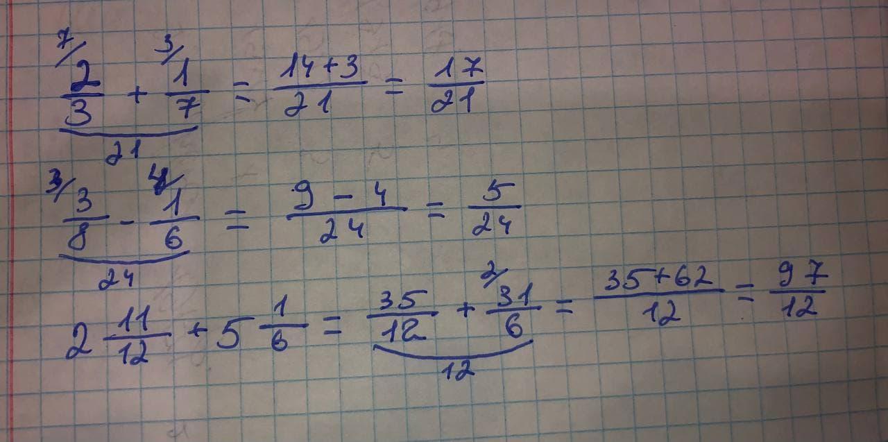
Будьласка допоможiть менi зробити цi вирази: 2/3 + 1/7=
3/8-1/6 =
2 11/12+5 1/6=

Ответы

Ответ дал: dudkovaleriia
0

Ответ:

ответ в фото

Пошаговое объяснение:

Приложения:
Вас заинтересует