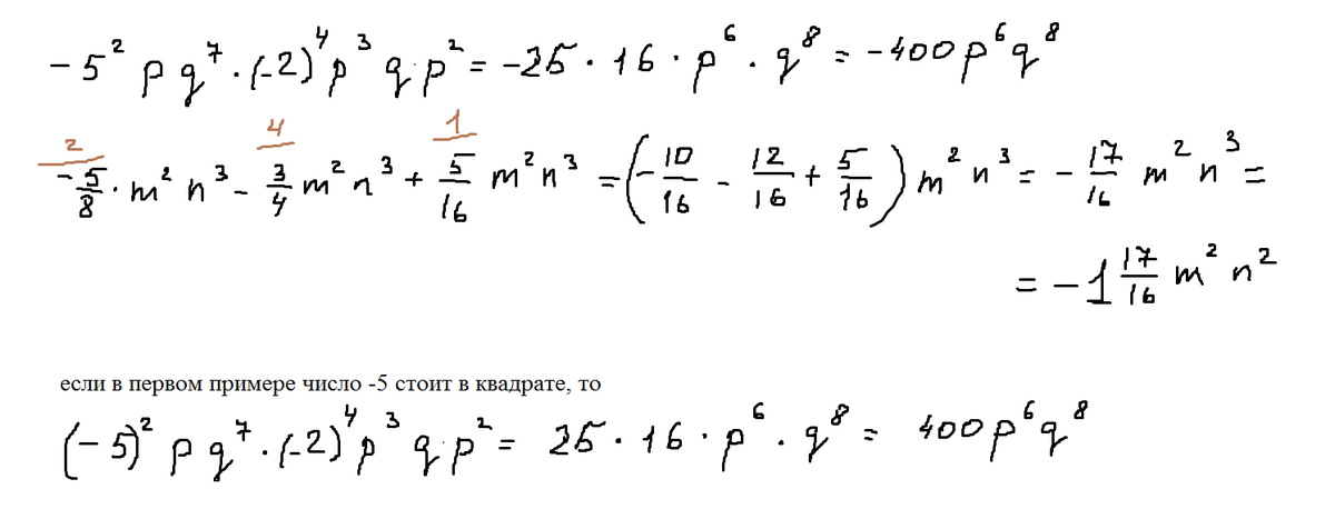
Приведите одночлен к стандартному виду: -5^2pq^7*(-2)^4p^3q*p^2
Выполните действия с подобными одночленами: -5/8m^2n^3-3/4m^2n^3+5/16m^2n^3 ( где стоит знак /-это значит что дробью)
Ответы
Ответ дал:
0
решениеееееееееееееееееееее
Приложения:
Вас заинтересует
3 года назад
3 года назад
8 лет назад
8 лет назад
11 лет назад
11 лет назад
11 лет назад