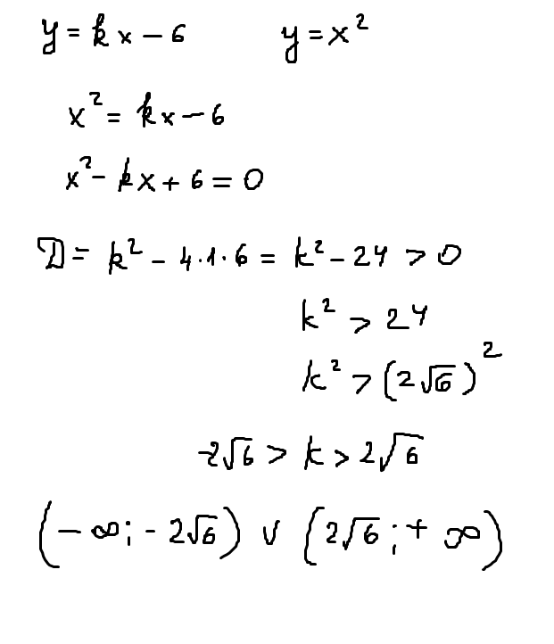
Помогите решить:
При каких значениях параметра k прямая
и парабола
, имеют 2 точки пересечения, 1 точку пересечения и вообще не имеют точек пересечения.
Ответы
Ответ дал:
0
Если понравилось решение - нажимай "спасибо" и "лучший" (рядом с кнопкой "спасибо") :)
Приложения:

Вас заинтересует
8 лет назад
8 лет назад
10 лет назад
10 лет назад