• Предмет: Алгебра
  • Автор: zolysha2000
  • Вопрос задан 10 лет назад

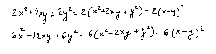
представте многочлен в виде прлизведения:
1)2x в квадрате + 4ху+2у в квадрате
2)6х в квадрате - 12ху+ 6у в квадрате

Ответы

Ответ дал: esmilya
0
Если понравилось решение - нажимай "спасибо" и "лучший" (рядом с кнопкой "спасибо") :)
Приложения:
Вас заинтересует