• Предмет: Математика
  • Автор: Pokutarik
  • Вопрос задан 7 лет назад

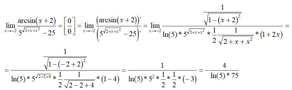
lim(arcsin(x+2))/(5^\/2+x+x^2)-25 (7 задание)

x->-2

высш. мат., ответ, вроде, -4/75Ln5

помогите с решением, пожалуйста

Приложения:

IUV: 5^\/2 - как понять ?
IUV: условие нормально напиши
IUV: самое время прикрепить рисунок
Pokutarik: прикрепила
IUV: ага, это 7 номер

Ответы

Ответ дал: IUV
0

Ответ:

таки да

Пошаговое объяснение:

во вложении

Приложения:
Вас заинтересует