Производная сложной функции y=e^x2-5x+5
Приложения:

Clever46:
y=e^(x2-5x+5) так или как?
Ответы
Ответ дал:
0
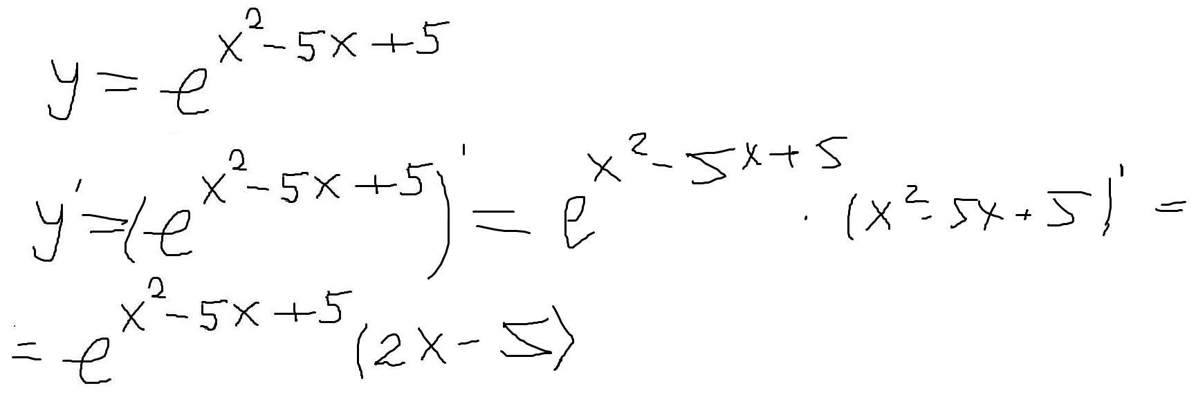
Ответ:
Пошаговое объяснение:
Приложения:

Вас заинтересует
2 года назад
3 года назад
3 года назад
8 лет назад
8 лет назад
9 лет назад
9 лет назад