• Предмет: Алгебра
  • Автор: giugdnbfn
  • Вопрос задан 7 лет назад

Срочно,алгебра, помогите пожалуйста,решите с объяснением!​

Приложения:

Ответы

Ответ дал: AgaFon1337
2

Ответ:

Объяснение:

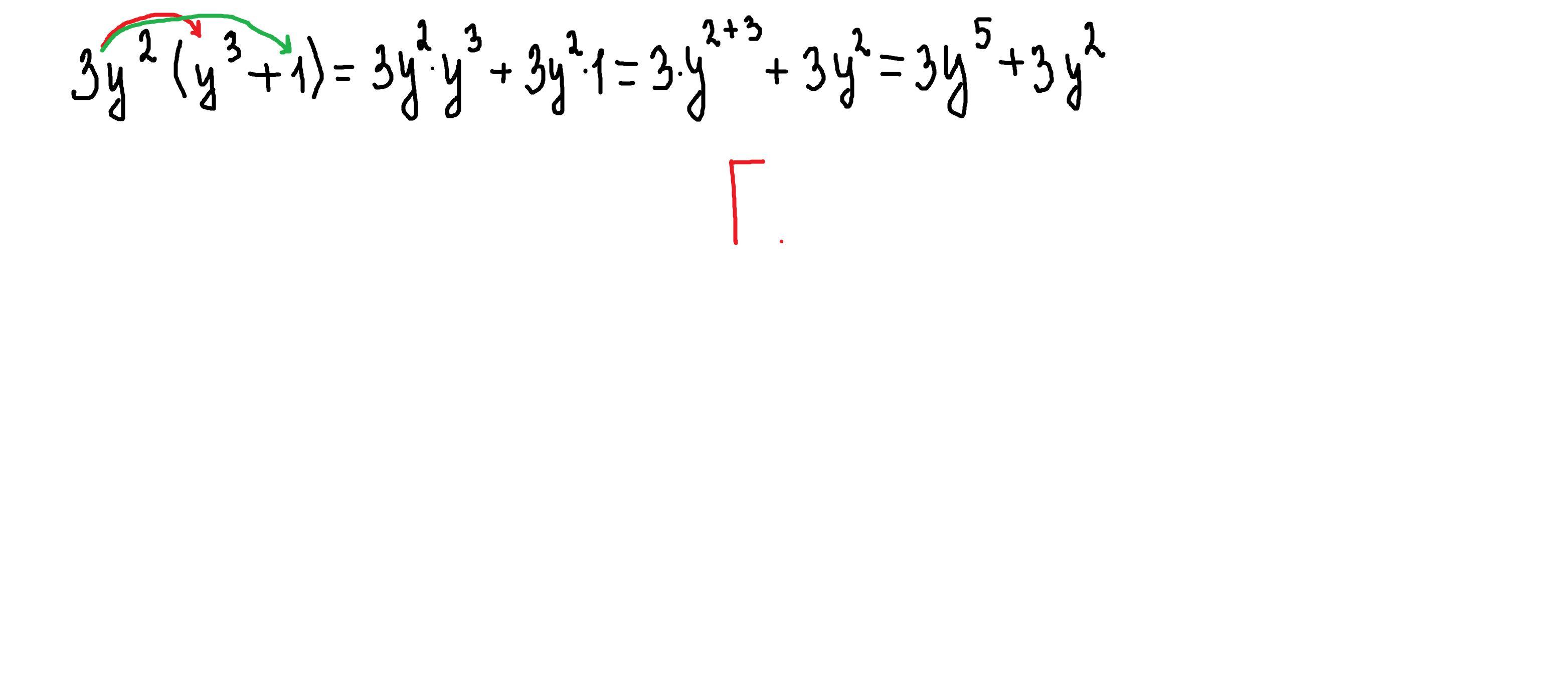
3y^2(y^3+1)=3y^5+3y^2(Г)

Ответ дал: parus77
1

Ответ:

г

Объяснение:

решение внизу

Приложения:

giugdnbfn: спасибо большое за объяснение
Вас заинтересует