• Предмет: Математика
  • Автор: Kim201912
  • Вопрос задан 8 лет назад

очень нужно побыстрее пожалуйста​

Приложения:

Ответы

Ответ дал: ali07040131
0

Ответ:

X>0.4

Пошаговое объяснение:

7х-6х>-1-2

x>-3

x>2-1.6

x>0.4

7*0.4+2>6*0.4-1

2.8+2>2.4-1

4.8>1.4

Ответ дал: iramazurk
0

Ответ:

Пошаговое объяснение:

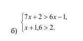
7х + 2 > 6х - 1

х + 1,6 > 2

7х - 6х > -1 - 2

х > 2 - 1,6

х > -3

х > 0,4

х € {0,4, +∞}

Вас заинтересует