• Предмет: Алгебра
  • Автор: lerochka0303
  • Вопрос задан 7 лет назад

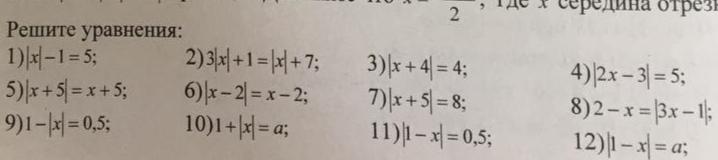
Помогите срочно нужно
8, 10, 12

Приложения:

Ответы

Ответ дал: olgaua64
0

Відповідь:

Пояснення:

8. 3х-1=±(2х-1|

3х-1=2х-1. или. 3х-1=-2х+1

х=0. или. 5х=2 -> х=0,4

10. |х|=а-1

х=а-1 или х=1-а

12 1-х=±а

х=1-а или х=1+а

Вас заинтересует