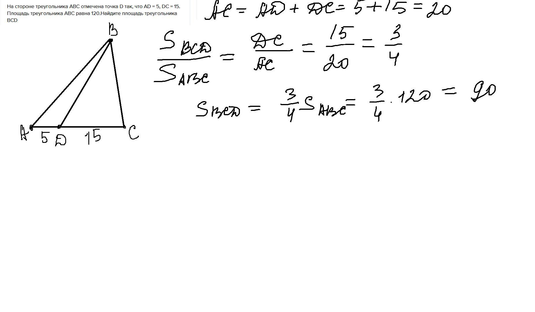
На стороне треугольника АВС отмечена точка D так, что АD = 5, DС = 15. Площадь треугольника АВС равна 120.Найдите площадь треугольника ВСD
Ответы
Ответ дал:
0
Ответ:
Объяснение:Найдите площадь треугольника ВСD
Приложения:

Вас заинтересует
2 года назад
3 года назад
3 года назад
8 лет назад
8 лет назад
9 лет назад