• Предмет: Алгебра
  • Автор: elizavetafedorcenko8
  • Вопрос задан 7 лет назад

СРОЧНО! Алгебра 8 класс. Нужно отнять или прибавить... Последние 3 примера

Ответы

Ответ дал: larisaserova53
2

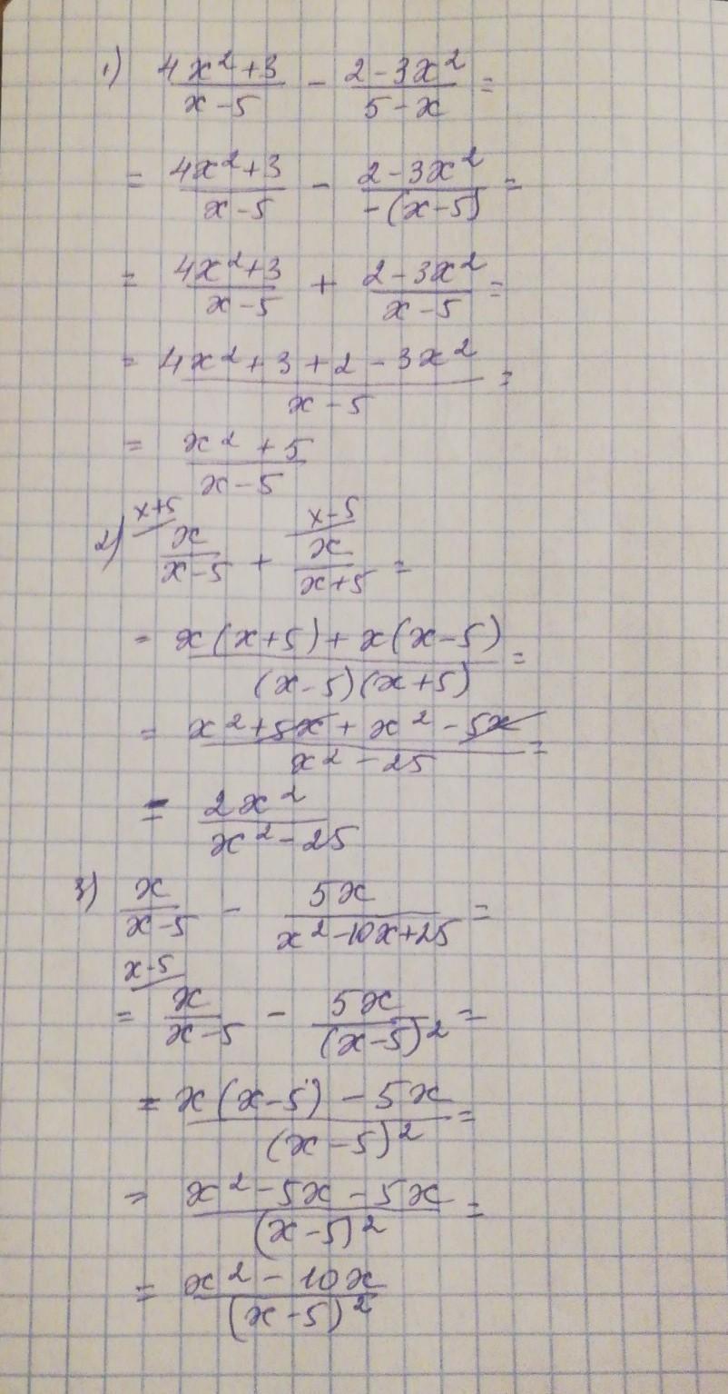
Ответ:

Смотри решение на фото..

Приложения:

larisaserova53: Все там видно?
elizavetafedorcenko8: Спасибо!
larisaserova53: Зачем столько баллов, я же сказала за 5 сделаю, у меня их и так полно
elizavetafedorcenko8: Да, всё видно!
larisaserova53: Если геометрия, то сама её не знаю
Вас заинтересует