Ответы
Ответ дал:
0
всё написано во вложении
Приложения:

Ответ дал:
0
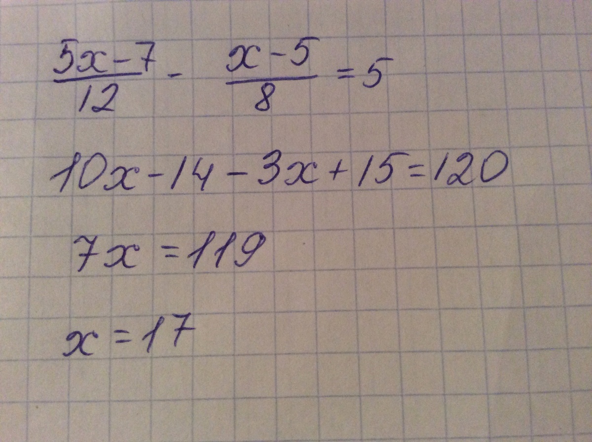
(5x-7)/12-(x-5)/8=5
2(5x-7)/24-3(x-5)/24=120/24
10x-14-3x+15=120
7x=120-15+14
7x=119
x=17
2(5x-7)/24-3(x-5)/24=120/24
10x-14-3x+15=120
7x=120-15+14
7x=119
x=17
Приложения:

Вас заинтересует
2 года назад
8 лет назад
8 лет назад
10 лет назад
10 лет назад
10 лет назад