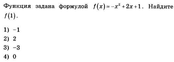
• Предмет: Алгебра
  • Автор: adarova453
  • Вопрос задан 8 лет назад

Пожалуйста срочно срочно срочно срочно срочно срочно срочно срочно срочно срочно срочно срочно срочно срочно срочно срочно срочно срочно срочно срочно срочно срочно срочно срочно срочно срочно срочно срочно срочно срочно срочно срочно срочно срочно срочно срочно срочно срочно срочно срочно срочно срочно срочно срочно срочно срочно срочно срочно срочно срочно срочно срочно срочно срочно срочно срочно срочно срочно срочно срочно срочно срочно срочно срочно срочно срочно срочно срочно срочно срочно срочно срочно срочно срочно срочно срочно срочно срочно срочно срочно срочно срочно срочно срочно срочно срочно срочно срочно срочно срочно срочно срочно срочно срочно срочно срочно срочно срочно срочно срочно срочно срочно срочно срочно срочно срочно срочно срочно срочно срочно срочно срочно срочно срочно срочно срочно срочно срочно срочно срочно срочно срочно срочно срочно срочно срочно срочно срочно срочно срочно срочно срочно срочно срочно срочно срочно срочно ​

Приложения:

Ответы

Ответ дал: tkachukpolina81
2

Ответ:

будет: -3

надеюсь помогла

Вас заинтересует