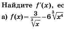
Пожалуйста, все четко и хорошо по действиям распишите как решается. Даю 40 баллов. Требуется найти производную
Приложения:

Ответы
Ответ дал:
1
⁾
(
)⁾=
Вас заинтересует
2 года назад
2 года назад
3 года назад
3 года назад
8 лет назад
8 лет назад