Ответы
Ответ дал:
1
Ответ:
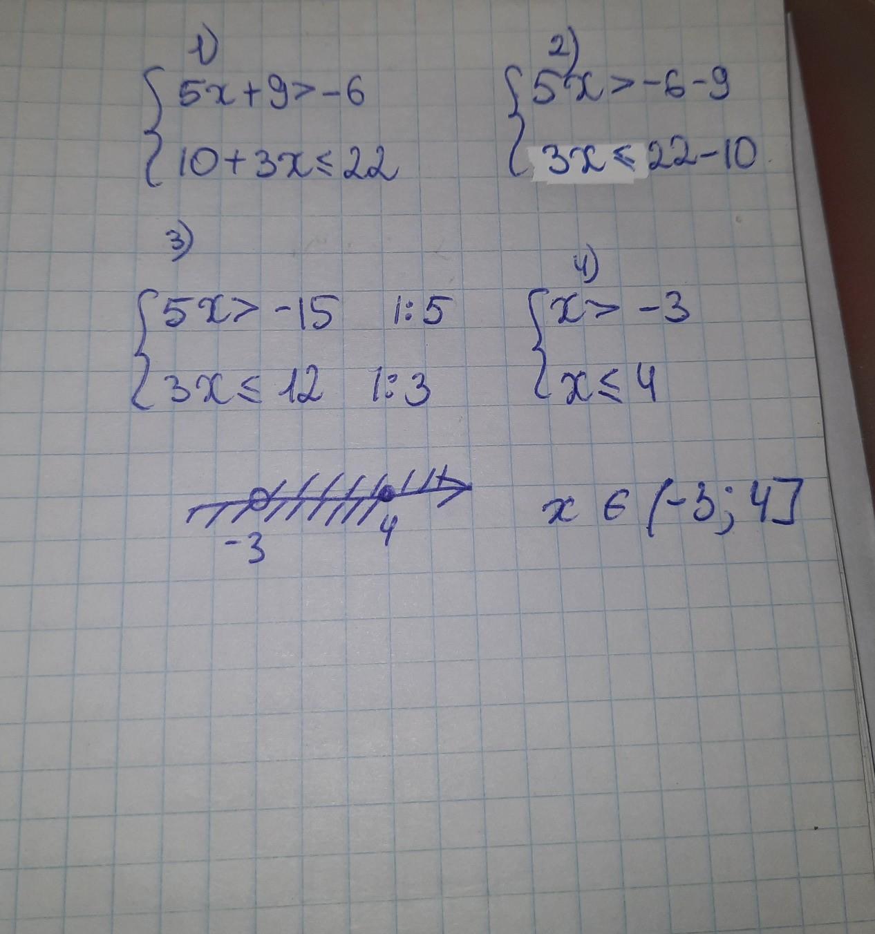
ответ в прикреплёном фото
Приложения:

1248658m:
Спс бро
Вас заинтересует
2 года назад
3 года назад
8 лет назад
9 лет назад
9 лет назад