• Предмет: Математика
  • Автор: kriskrishar57
  • Вопрос задан 7 лет назад

Помогите пожалуйста.. Дам 20 баллов!

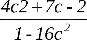
Нужно сократить дробь:

Приложения:

Ответы

Ответ дал: Аноним
1

4с2+7с-2/1-16с²=8с+7с-2/1-16с²=15с-2/1-16с²

Вас заинтересует
3 года назад