Ответы
Ответ дал:
1
Ответ:
Пошаговое объяснение:
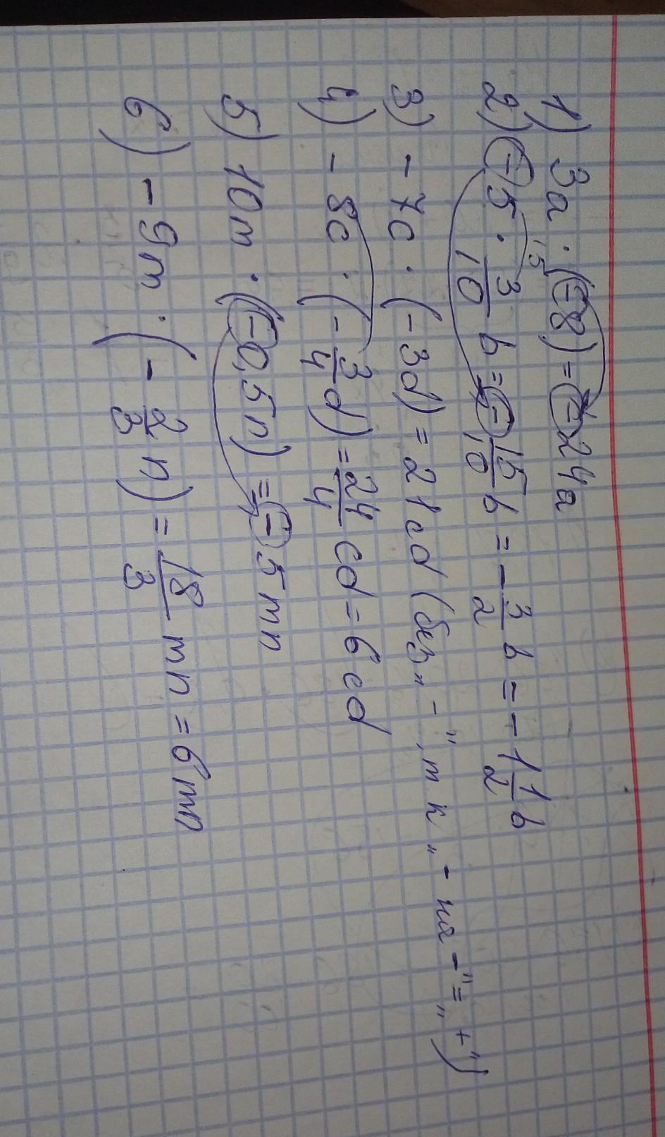
1) 3а * (-8) = -24а
2) -5 * 3/10b = -15/10b = -3/2b = -1. 1/2b
3) -7c * (-3d) = 21cd
4) -8c * (-3/4d) = 24/4cd = 6cd
5) 10m * (-0,5n) = -5mn
6) -9m * (-2/3n) = 18/3mn = 6mn
Аноним:
можно пожалуйста путь решения
Ответ дал:
0
Ответ на фото, постаралась ещё объяснить знаки
Приложения:

Вас заинтересует
2 года назад
2 года назад
3 года назад
3 года назад
8 лет назад
8 лет назад
9 лет назад