• Предмет: Алгебра
  • Автор: lianamicheev
  • Вопрос задан 8 лет назад

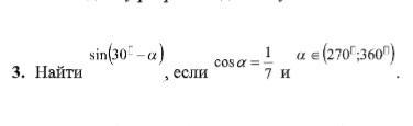
Пожалуйста срочноооооооо! Даю10 баллов, желательно подробнооооо

Приложения:

Ответы

Ответ дал: ivan48367
1

Ответ:

................................................

Приложения:

lianamicheev: Спасибо большое
Вас заинтересует