• Предмет: Алгебра
  • Автор: evelina8111
  • Вопрос задан 7 лет назад

Помогите пожалуйста нужно очень срочно ​

Приложения:

Ответы

Ответ дал: parus77
0

Ответ:

Объяснение:

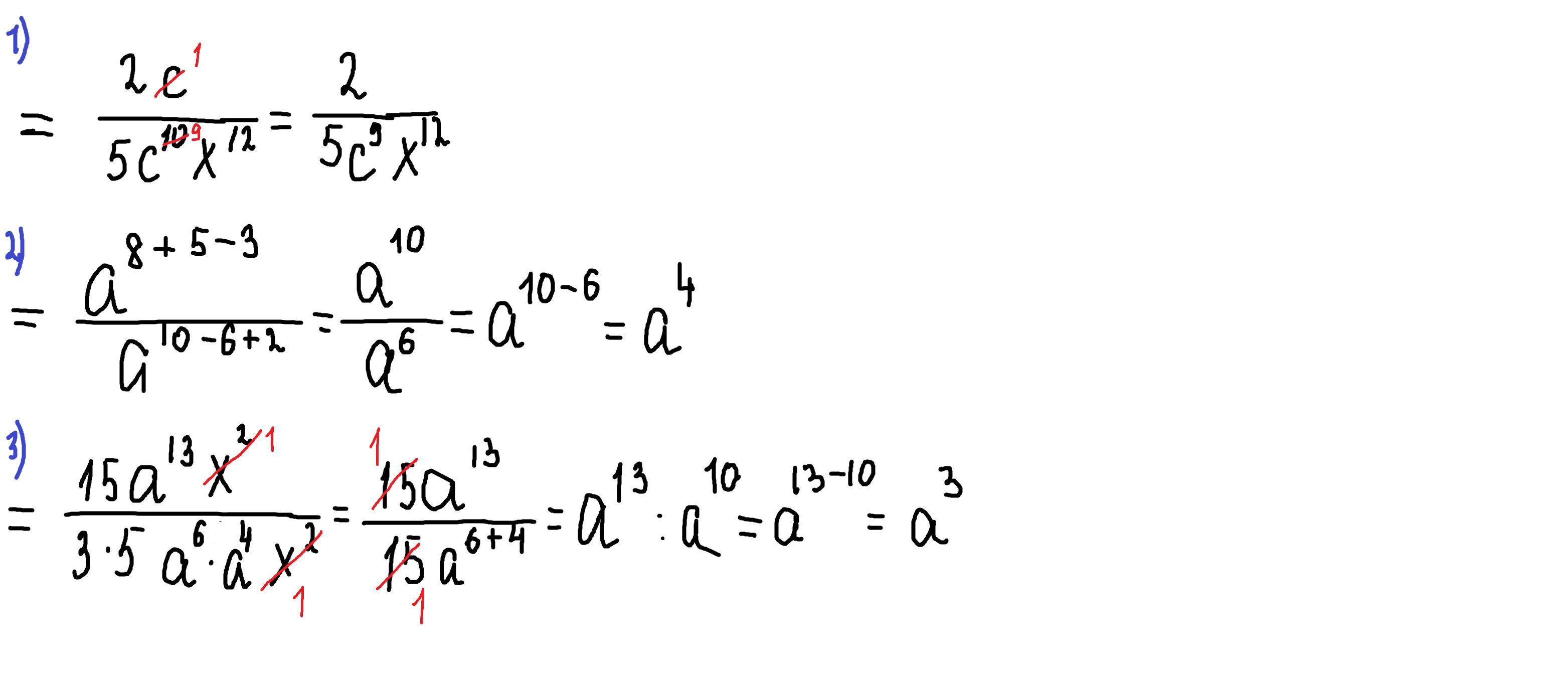
РЕШЕНИЕ ВНИЗУ

при умножение степеней с одинаковым основанием показатели складываются,а при делении -вычитаются.

Приложения:
Вас заинтересует