• Предмет: Алгебра
  • Автор: Аноним
  • Вопрос задан 8 лет назад

Помогите пожалуйста срочно нужно сделать

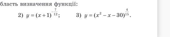
Приложения:

Ответы

Ответ дал: banditkanaste4ka
1

Ответ:

2) X= -5/12.

Объяснение:

2) y = (x + 1) - 7/12

0 = (x + 1) - 7/12

0 = x + 1 - 7/12

0 = x + 5/12

-x = 5/12

x = -5/12

Альтернативная форма

x = -0,416

Вас заинтересует