• Предмет: Геометрия
  • Автор: 0EvaBrown0
  • Вопрос задан 7 лет назад

помогите пожалуйста с геометрией​

Приложения:

Ответы

Ответ дал: molkar
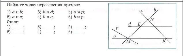
1

1. М

2 к

3 е

4 н

Объяснение:

Воттттттт


0EvaBrown0: спасибо большое
Ответ дал: julia3117
1

Объяснение:

1.M

2.K

3.E

4.N

5.M

6.M

можно корону пожалуйста

Вас заинтересует