Ответы
Ответ дал:
0
Ответ:
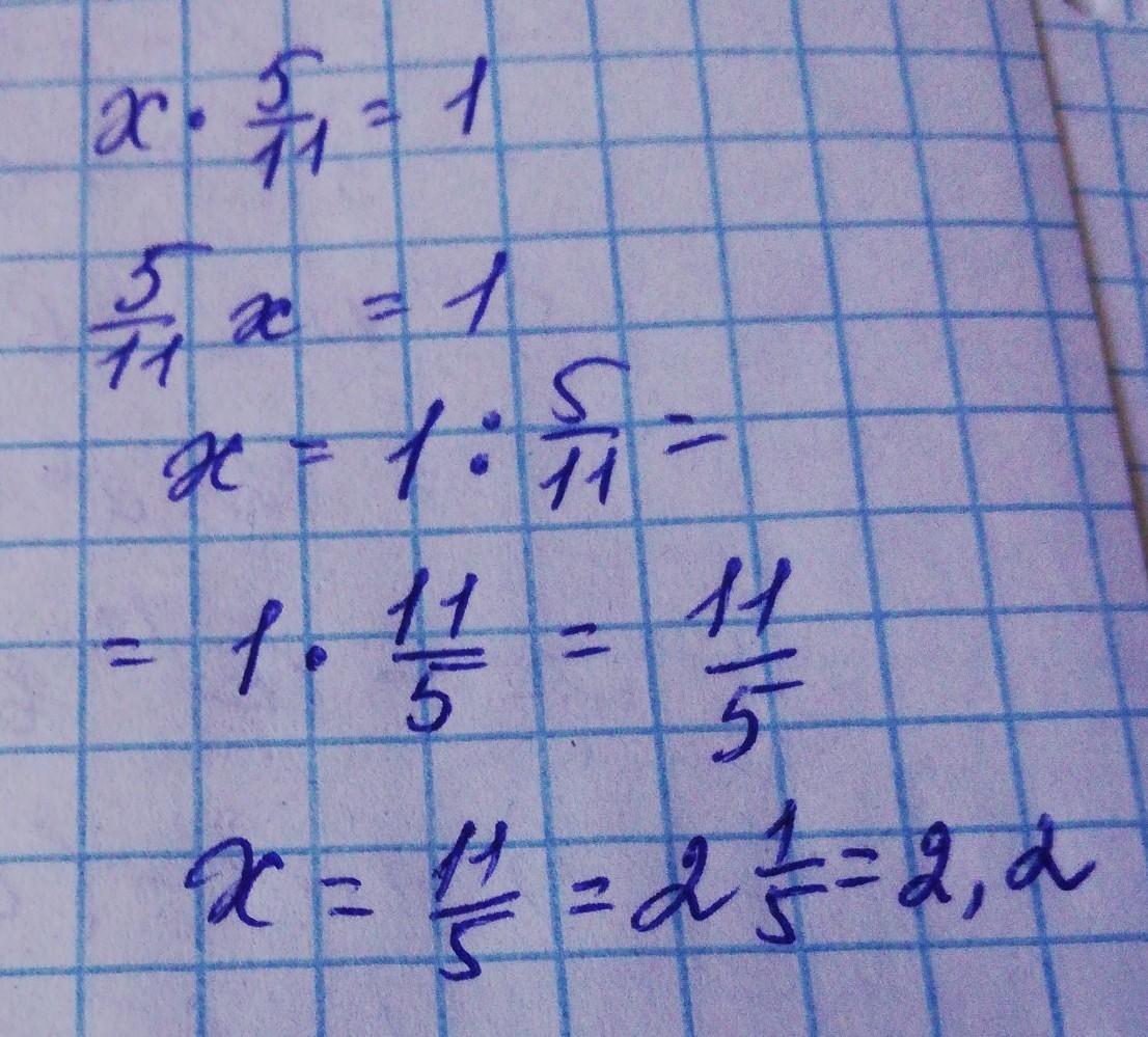
Смотри решение на фото...
Приложения:

Ответ дал:
0
oтвет будет равен х=2.2
Вас заинтересует
2 года назад
3 года назад
3 года назад
8 лет назад
8 лет назад
9 лет назад
9 лет назад