• Предмет: Алгебра
  • Автор: Shon2208
  • Вопрос задан 7 лет назад

Помогите срочно решить , даю 40 баллов

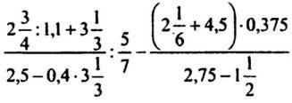
Вычислить

Приложения:

Ответы

Ответ дал: Avantgardе
1

Решим по действиям (ответ записываю в виде неправильной дроби, потому что при делении позже её всё равно нужно будет перевести)

\dfrac{2\dfrac34:1.1+3\dfrac13}{2.5-0.4\cdot3\dfrac13}:\dfrac57-\dfrac{\bigg(2\dfrac16+4.5\bigg)\cdot0.375}{2.75-1\dfrac12}=7-2=5

1)\;\;2\dfrac34:1.1+3\dfrac13=\dfrac{11}{4}\cdot\dfrac{10}{11}+3\dfrac13=\dfrac{10}4+3\dfrac13=2\dfrac24+3\dfrac13=(2+3)+\bigg(\dfrac12+\dfrac13\bigg)=\\\\=5+\dfrac{3+2}{6}=5\dfrac56=\dfrac{35}{6}

2)\;\;2.5-0.4\cdot3\dfrac13=2.5-\dfrac4{10}\cdot\dfrac{10}3=2.5-\dfrac43=2\dfrac5{10}-1\dfrac13=(2-1)+\bigg(\dfrac12-\dfrac13\bigg)=\\\\=1+\dfrac{3-2}{6}=1\dfrac1{6}=\dfrac76

3)\;\;\dfrac{35}6:\dfrac76=\dfrac{35}6\cdot\dfrac67=5

4)\;\;5:\dfrac57=5\cdot\dfrac75=7

5)\;\;\bigg(2\dfrac16+4.5\bigg)\cdot0.375=\bigg(2\dfrac16+4\dfrac{5}{10}\bigg)\cdot\dfrac38=\bigg(2\dfrac16+4\dfrac{1}{2}\bigg)\cdot\dfrac38=\\\\=\bigg((2+4)+\bigg(\dfrac16+\dfrac12\bigg)\bigg)\cdot\dfrac38=\bigg(6+\dfrac{1+3}6\bigg)\cdot\dfrac38=6\dfrac46\cdot\dfrac38=6\dfrac23\cdot\dfrac38=\dfrac{20}{3}\cdot\dfrac38=\dfrac{5}{2}

6)\;\;2.75-1\dfrac12=2\dfrac34-1\dfrac12=(2-1)+\bigg(\dfrac{3}{4}-\dfrac12\bigg)=1+\dfrac{3-2}{4}=1\dfrac14=\dfrac54

7)\;\;\dfrac52:\dfrac54=\dfrac52\cdot\dfrac45=2

8)\;\;7-2=5

Вас заинтересует