• Предмет: Алгебра
  • Автор: aruhika
  • Вопрос задан 7 лет назад

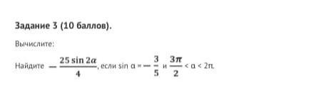
пожалуйста, помогите с алгеброй.
очень желательно с тетради, чтобы можно было легко понять по этапность решения. заранее благодарю

Приложения:

Ответы

Ответ дал: bena20193
1

Ответ:

Объяснение:

3) по формуле

cosa=√(1-sin²a)=√(1-(-3/5)²)=√(1-(9/25))=√(16/25))=4/5

по формуле синуса двойного угла

sin2a=2sinacosa=2(-3/5)(4/5)=-2*12/25=-24/25=0,96

5) в указанных границах cosa и cosa/2 отрицательный

по формуле

cosa=-√(1-sin²a)=-√(1-(-12/13)²)=-√(1-(144/169))=-√(25/169)=-5/13

по формуле косинуса половинного угла

cos(a/2)=-√((1-cosa)/2)=-√((1+(5/13))/2)=-√((18/13)/2)=-√(9/13)

P/S тетради нет, надеюсь поэтапность решения понятна


aruhika: Большое спасибо!
Вас заинтересует