Ответы
Ответ дал:
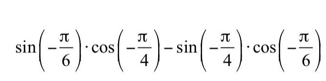
1
Ответ:
это точно правельный ответ точно!!! учительница сама сказала)
Пошаговое объяснение:
.
Приложения:

gosha3113:
спасибо
Вас заинтересует
2 года назад
2 года назад
3 года назад
8 лет назад
9 лет назад