• Предмет: Алгебра
  • Автор: harleystar
  • Вопрос задан 7 лет назад

100 БАЛЛОВ!
Алгебра,1 задание.
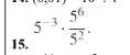
Все на фото.

Приложения:

harleystar: Под 1 задание,имеется ввиду одно задание,а не первое,а то подумаете 1 не скинула,я имела ввиду одно-15.

Ответы

Ответ дал: Аноним
3

Объяснение:

5 {}^{ - 3}   \times  \frac{5 {}^{6} }{5 {}^{2} }  = 5 {}^{ - 3}  \times 5 {}^{4}  = 5 {}^{1}  = 5


harleystar: Спасибо большое)
Вас заинтересует