• Предмет: Математика
  • Автор: wiponget
  • Вопрос задан 7 лет назад

Пожалуйста решите 100 баллов

Приложения:

Ответы

Ответ дал: pmtidum2020
1

Ответ:

Пошаговое объяснение:

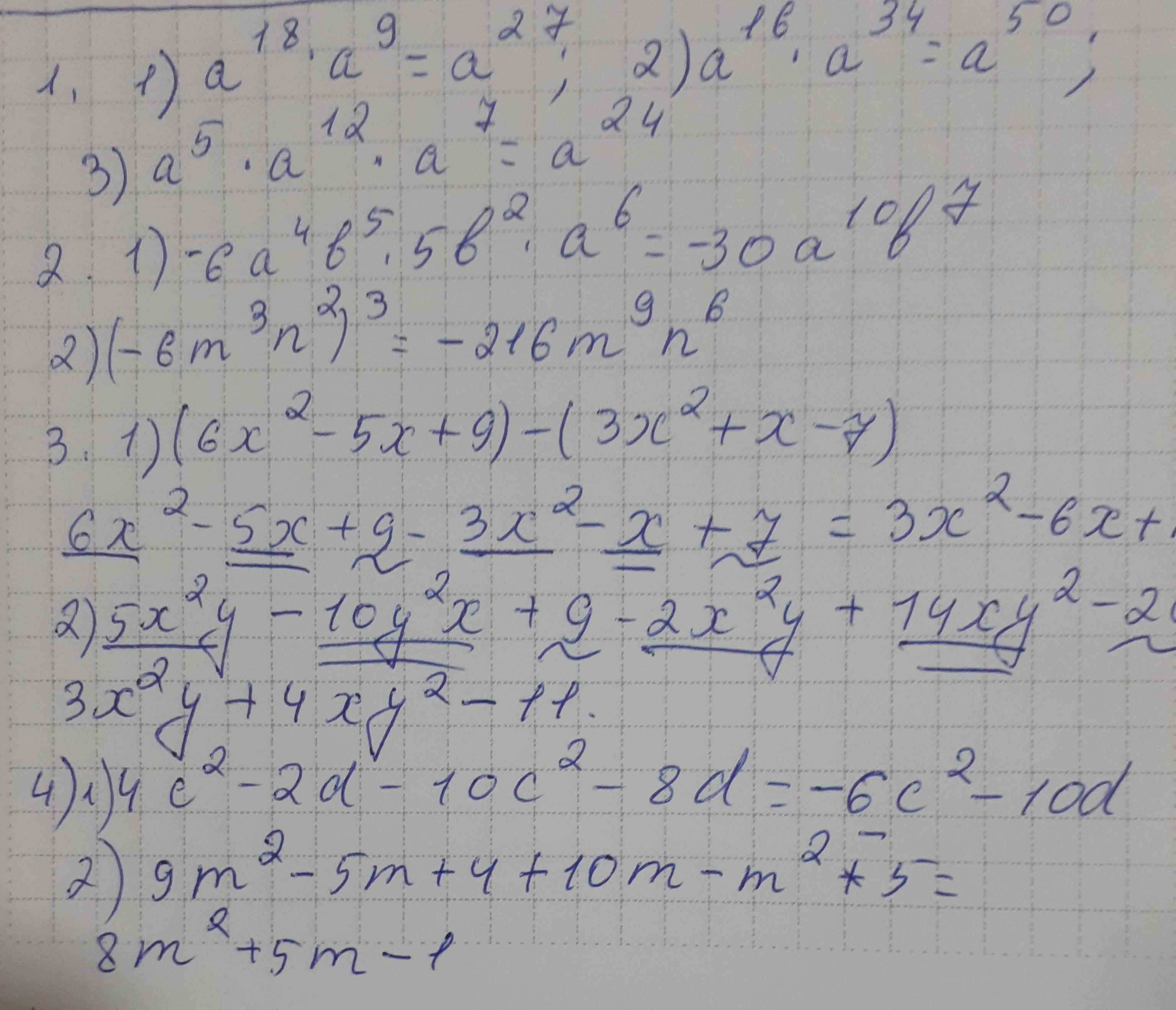
Ответ в фото уравнение в коменты прикреплю

Приложения:

wiponget: там в 3 задаче в первом столбеке не вошло в картинку что там
pmtidum2020: -6x+16
wiponget: а ниже
wiponget: там еще пару примеров не вошло
pmtidum2020: -20
pmtidum2020: Уравнение в 1 ответ x -4. Во 2 не понял
Вас заинтересует