• Предмет: Химия
  • Автор: Sequence0
  • Вопрос задан 7 лет назад

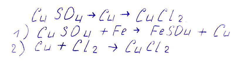
Напишіть рівняння реакцій, за допомогою яких можна здійснити такі перетворення:
CuSO4→Cu→CuCl2

Ответы

Ответ дал: Lizzie2018
2

Решение цепочки в файле.

Приложения:
Вас заинтересует