• Предмет: Алгебра
  • Автор: noireaux
  • Вопрос задан 10 лет назад

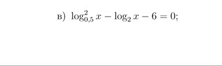
Помогите привести логарифмы к одному основанию. И все ) буду благодарна!

Приложения:

Ответы

Ответ дал: losangeles2014
0
вот ответ.А вы знаете по армянский?

Приложения:
Ответ дал: losangeles2014
0
я не знаю другого выхода
Вас заинтересует