• Предмет: Алгебра
  • Автор: egorkerin3
  • Вопрос задан 7 лет назад

Последовательность задана формулой.ПОМОГИТЕ ПОЖАЛУЙСТА 20 БАЛОВ ДАМ

Приложения:

Ответы

Ответ дал: drtsv
1
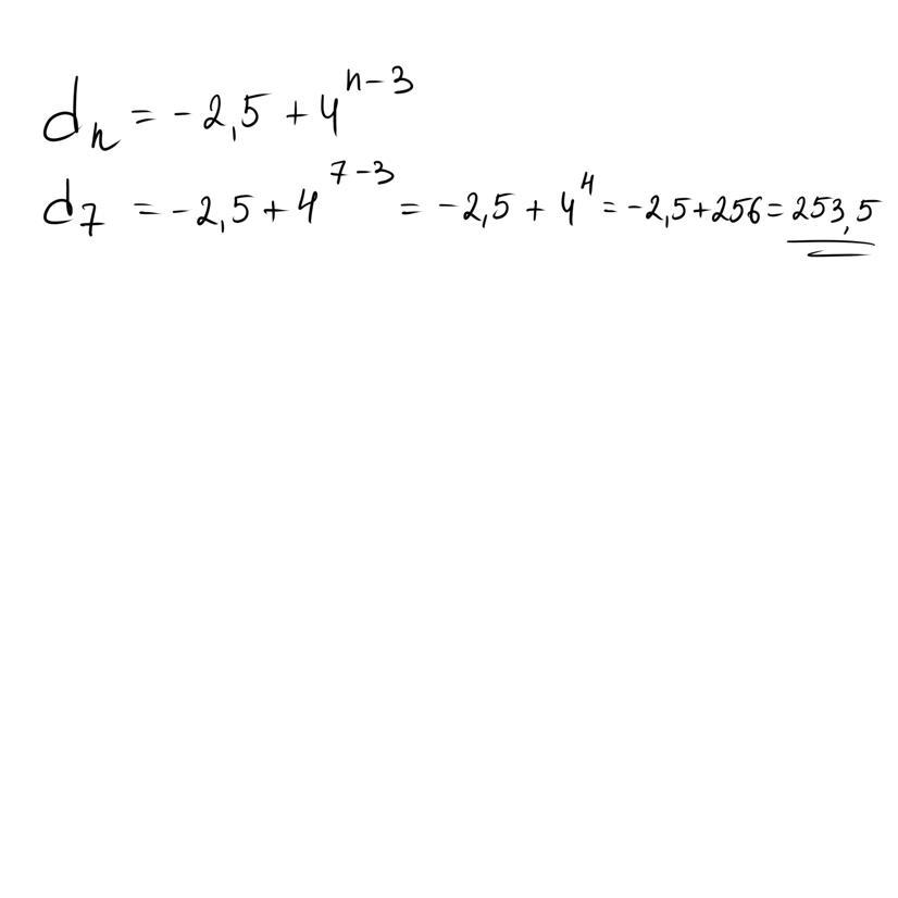
Решение представлено на фото
Приложения:
Вас заинтересует