• Предмет: Математика
  • Автор: Ryslana55
  • Вопрос задан 7 лет назад

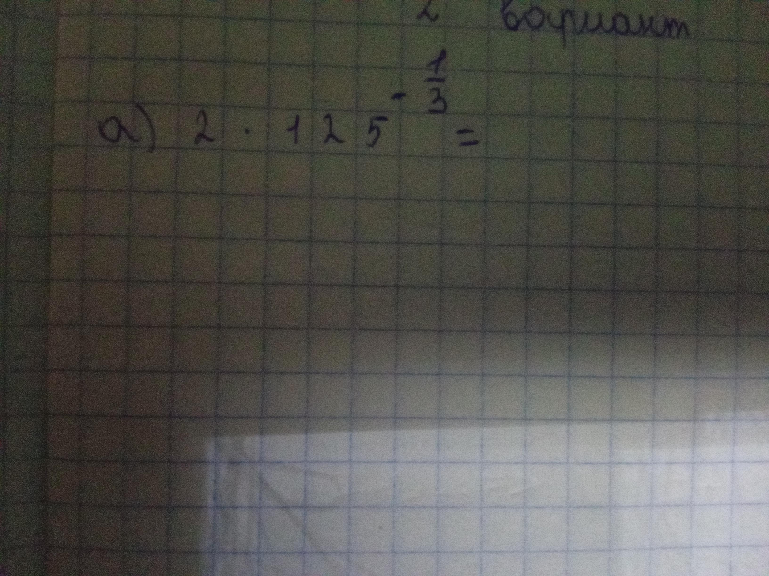
Решите пример 2 умножить на 125 в степени минус 1/3
Побыстрее и правильно пж

Приложения:

Аноним: эх
Аноним: я хотел:(
arzukdrv: ???

Ответы

Ответ дал: denissachkov
0

Ответ:

2/5 или 0.4

Пошаговое объяснение:

125^(1/3) = 5;

125^(-1/3) = 1/5;

2*(1/5) = 2/5

Вас заинтересует