Ответы
Ответ дал:
0
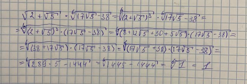
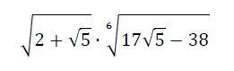
ответ: 1.
решение на фото
решение на фото
Приложения:

Вас заинтересует
2 года назад
2 года назад
2 года назад
2 года назад
8 лет назад
9 лет назад