• Предмет: Алгебра
  • Автор: andreylazin199071
  • Вопрос задан 7 лет назад

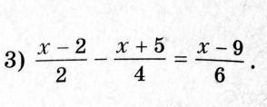
как решить x-2/2-x+6/4=x-9/6​

Приложения:

Ответы

Ответ дал: privatik555
1
Вот решение! Ответ будет x=9
Приложения:

andreylazin199071: большое вам спасибо
Ответ дал: 2007tancik
1

Объяснение:

вот полное решение уравнения на фото

Приложения:

andreylazin199071: спасибо вам большое
privatik555: Всегда пожалуйста!
Вас заинтересует