• Предмет: Алгебра
  • Автор: ksetut
  • Вопрос задан 7 лет назад

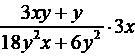
найти.......при....... скорее!

Приложения:

Ответы

Ответ дал: anastejsamoskal
1

Ответ:

10x

Объяснение:

\frac{3xy+y}{18y^{2}+6y^{2}  }*3x =\frac{y*(3x+1)}{6y^{2}*(3x+1) } *3x=\frac{1}{2y} *x=\frac{x}{2y} =\frac{x}{2*0,05} =\frac{x}{0,1} = 10x

Вас заинтересует