Помогите пожалуйста срочно решить.Пример 4.11.
Найти наибольшее и наименьшее
Значения функции y=f(x) на отрезке [a;b]
Приложения:

Ответы
Ответ дал:
1
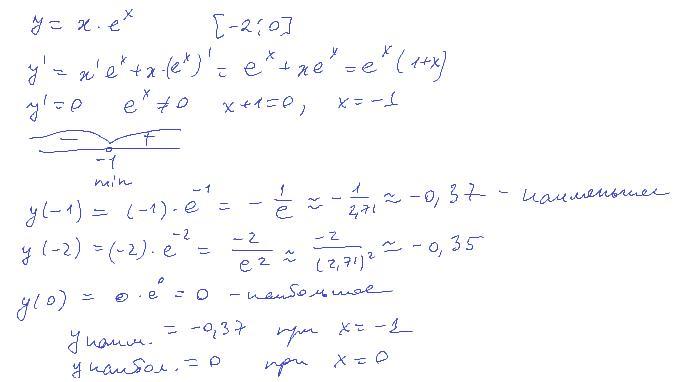
Ответ:
Пошаговое объяснение:
Приложения:

Вас заинтересует
2 года назад
2 года назад
2 года назад
8 лет назад
8 лет назад
9 лет назад