• Предмет: Алгебра
  • Автор: sadsadasdsadsad
  • Вопрос задан 7 лет назад

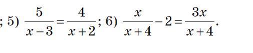
помогите решить, 20 балов даю алгебра 8 класс

Приложения:

Ответы

Ответ дал: safinomakareno
0

Ответ:

5) х= -22

6) х= -2

..............

Приложения:
Вас заинтересует